I grew up near Holywood, Northern Ireland, and went to Queen's University Belfast (QUB) to study a BSc in Physics before switching to an integrated Masters. It was during my Masters research project that I fell in love with transient astrophysics — and I haven't looked back since. My Masters and PhD were supervised by Professor Stuart Sim at QUB, where I developed a deep interest for radiative transfer and the physics of exploding stars.

A central focus of my PhD was the dynamically-driven double-degenerate double-detonation (D6) scenario, which I believe is the most promising progenitor for normal Type Ia supernovae. In this scenario, two white dwarfs in a binary system interact — both can explode, and as such are often called quadruple detonation events. The video below illustrates this remarkable process.

Outside of research, I enjoy running (I recently finished my first half marathon!), rock climbing, hiking, and video games. I believe strongly that astronomy and astrophysics is for everyone, and I thrive in collaborative, supportive environments where people lift each other up.

3D hydrodynamic simulation of the D6 scenario (movie credit: R. Pakmor).

My PhD thesis, "Exploring the Origins of Type Ia Supernovae with Monte Carlo Radiative Transfer", covers this work in full detail.

📄 Paper Accepted — Multidimensional Nebular-Phase Calculations (April 2026)

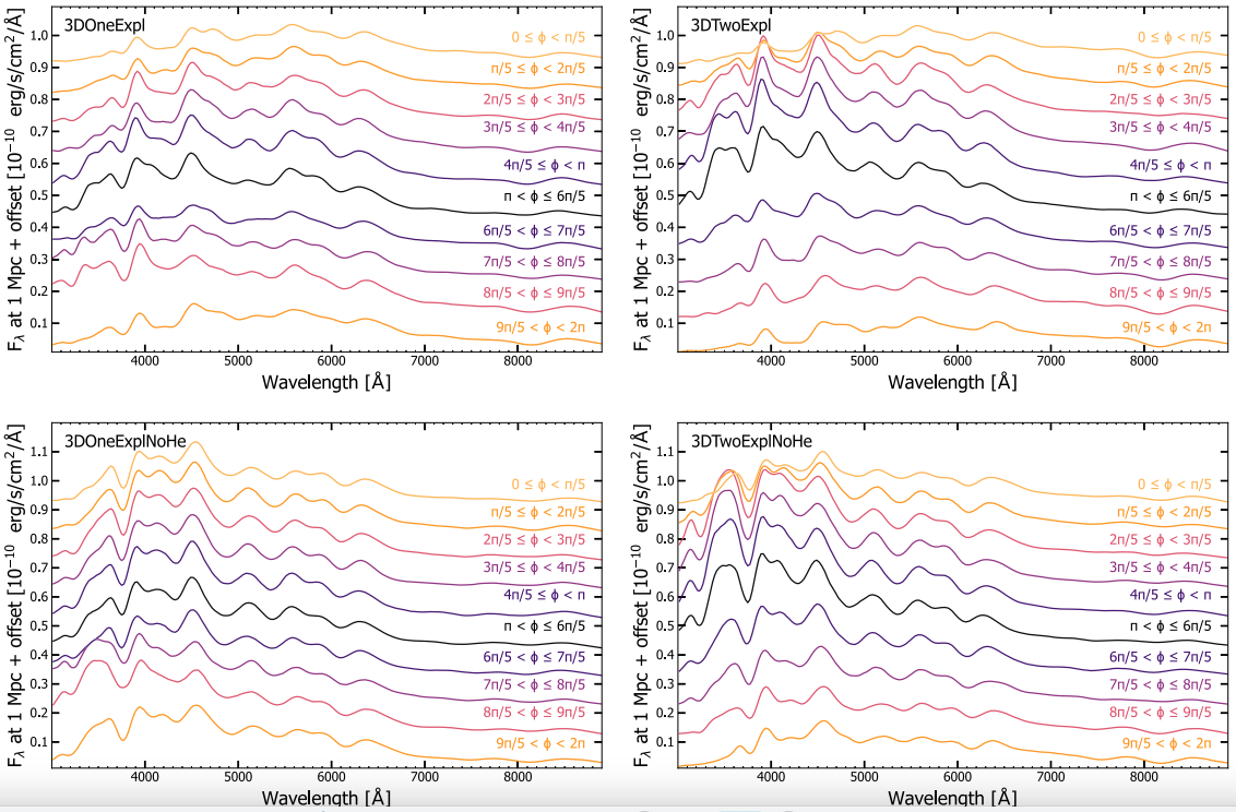
My paper "Multidimensional Nebular-Phase Calculations of Dynamically-Driven Double-Degenerate Double-Detonation Models for Type Ia Supernovae" has been accepted for publication in MNRAS. This is the first fully 3D NLTE nebular-phase radiative transfer simulation for Type Ia supernovae. Read on arXiv →

🎓 Started Postdoctoral Position at Oregon State University (January 2026)

I recently began a postdoctoral scholar position at Oregon State University, where I am extending my modelling to core-collapse supernovae with Dr Sanjana Curtis and building a broader programme for understanding explosive transients.

🏆 PhD Awarded — Queen's University Belfast (December 2025)

I successfully completed and defended my PhD at Queen's University Belfast under the supervision of Professor Stuart Sim. My thesis explored the origins of Type Ia supernovae using Monte Carlo radiative transfer. Read the thesis →

🔭 Session Organiser — NAM 2025: Explosive Transients in the Present and Future Sky (July 2025)

I was an integral part of organising and chairing the session "Explosive Transients in the Present and Future Sky" at the National Astronomy Meeting (NAM) 2025 in Durham. The session brought together researchers to present cutting-edge work on transient astrophysics.Session details →

🌟 Astrobites Feature — Unburnt Helium in SNe Ia (July 2025)

A co-authored paper on unburnt helium in Type Ia supernovae was featured on the Astrobites blog. Read the Astrobite →

Type Ia supernovae underpin measurements of the accelerating expansion of the Universe, yet their physical origin remains unresolved. This becomes increasingly important as next-generation surveys such as LSST and the Roman Space Telescope deliver orders of magnitude more events. Uncertainty in SN Ia standardisation propagates directly into cosmological constraints and contributes to the current Hubble tension.

My research addresses this by connecting state-of-the-art 3D explosion models directly to observations through fully consistent NLTE radiative transfer simulations. I model the full multidimensional ejecta structure, including geometry, composition, and nucleosynthesis, and compute spectra and light curves from first principles. This approach moves beyond parameterised and 1D approximations and enables direct tests of modern explosion models.

A central goal is to determine whether the diversity of thermonuclear supernovae can be explained within a unified physical framework. By modelling how white dwarf mass, helium shell properties, and merger geometry shape observables, I aim to identify the dominant explosion channels and establish how their nucleosynthetic signatures can be used to reduce systematic uncertainties in other research areas.

A major focus is connecting these models to observations from JWST, which is opening new windows into ejecta composition and structure. The variations predicted by my multidimensional calculations are already comparable in scale to features seen in recent JWST data, making this a particularly timely opportunity for direct comparison. I am actively seeking collaborations with researchers working on JWST observations of supernovae and explosive transients.

More broadly, I am developing next-generation NLTE radiative transfer models that can be applied across explosive transients. This includes extending detailed modelling to core-collapse supernovae, enabling consistent comparisons between thermonuclear and massive-star explosions, and building a framework in which radiative transfer is used to directly interpret the nucleosynthetic record encoded in supernova light.

Animation showing photon packets propagating through asymmetric block-structured supernova ejecta

This animation mimics how photon packets propagate through the ejecta in my supernova simulations. They illustrate the basic idea behind Monte Carlo radiative transfer: packets are emitted, scatter through the expanding material, convert between packet types, and eventually escape carrying information about the composition, geometry, and density structure of the explosion.

I develop and run large-scale multidimensional simulations of supernovae, combining radiative transfer, hydrodynamics, and nucleosynthesis on high-performance computing systems.

  • 3D NLTE Monte Carlo radiative transfer (ARTIS)
  • Hydrodynamic supernova modelling (PUSH)
  • Nucleosynthesis post-processing (CFNET)
  • High-performance computing (MPI, OpenMP, ~95M CPU hrs awarded)
  • C/C++, Python, Fortran, Bash
Nebular phase simulation

Nebular-Phase Radiative Transfer

What sets the inner ejecta structure of thermonuclear explosions? I address this using nebular-phase radiative transfer, where line profiles and ionisation balance provide direct constraints on progenitor systems, asymmetries, and nucleosynthetic structure.

Photospheric phase simulation

Unifying Type Ia Supernova Diversity

What drives the diversity of Type Ia supernova observables? I investigate how white dwarf mass, helium shells, and merger geometry shape spectra and light curves, with the broader aim of unifying normal events and their subclasses within a single physical picture.

Polarization data

Polarisation and Ejecta Geometry

How can we robustly identify three-dimensional structure in supernova ejecta? Polarisation provides a complementary probe, and by modelling orientation-dependent signatures I test how explosion asymmetries map onto observables that cannot be captured in spherical symmetry.

Code comparison

Modelling Across the Explosive Transients Landscape

Can the same modelling framework be applied to both thermonuclear and massive-star explosions? At Oregon State University, I am conducting hydrodynamic explosions with the goal of extending detailed NLTE radiative transfer calculations beyond Type Ia supernovae to core-collapse events, thereby building a broader programme for interpreting explosive transients within a consistent radiative-transfer framework.

First-Author Publications

Contributing-Author Publications

My work combines code development, large-scale simulation campaigns, and observational interpretation. Selected contributions include:

  • Developed the first fully 3D NLTE nebular-phase radiative transfer simulations for Type Ia supernovae.
  • Produced the first multidimensional photospheric-phase synthetic observables of dynamical mergers.
  • Performed the first 3D polarisation calculations for double-degenerate explosion models.
  • Helped secure and exploit approximately 95 million CPU hours across major national and international HPC facilities.
  • Contributed to successful large-scale proposals on DiRAC, JUWELS, and SuperMUC-NG, translating computational resources into first-author and collaborative publications.
  • Expanded my research programme to include core-collapse supernova modelling and nucleosynthesis post-processing.

Other highlights include co-investigator status on a successful ESO VLT FORS2 proposal, invited talks at Trinity College Dublin and Leiden, and being an integral part of organising and chairing the session "Explosive Transients in the Present and Future Sky" at the National Astronomy Meeting (NAM) 2025 in Durham, a session composed entirely of early-career researchers.

I believe strongly that astronomy and astrophysics is for everyone. Science thrives when it is open, inclusive, and collaborative, and I am committed to contributing to an environment where people from all backgrounds feel welcome and supported. We are stronger together, and diversity of perspective makes for better science and scientists.

Conference Organisation

I was an integral part of organising and chairing the session "Explosive Transients in the Present and Future Sky" at the National Astronomy Meeting (NAM) 2025 in Durham. The session brought together early-career researchers to present their work on transient astrophysics, and I am proud to have played a central role in making it happen. Creating dedicated space for the next generation of astronomers to share their research and build connections within the community is something I care deeply about. Session details →

Recent Talks

Below is a recording of a recent research talk I gave, covering my work on multidimensional radiative transfer modelling for Type Ia supernovae.

Mentoring

I recently mentored Anna Hayes as a summer research assistant, supporting her in developing skills in radiative transfer analysis and scientific computing. Mentoring the next generation of astrophysicists is something I care deeply about, and I enjoy creating a supportive environment where students feel empowered to ask questions and pursue their own curiosity.

Outreach

I am passionate about communicating astrophysics beyond the academic community. I enjoy public engagement and am happy to talk about supernovae, cosmology, and the life cycle of stars to audiences of all ages and backgrounds. If you are interested in an outreach event or school visit, please feel free to get in touch.

I'm always interested in research collaborations, particularly in transient modelling, radiative transfer, supernova theory, and high-performance computing applications in astrophysics. Feel free to reach out — I am always interested in new collaborations.

This map shows places I have lived and locations where I have given research talks or presented my work.

Talk Locations
Lived / Worked

Below are some photographs I've taken during my travels for astrophysics.